使用 SQL 函数
本文介绍了 seekdb 支持的向量函数及使用注意事项。
使用注意事项
- 维度不同的向量数据不允许做下述运算,会报错
different vector dimensions %d and %d。 - 当结果超出浮点数值域时,会报错
value out of range: overflow / underflow。 - 稠密向量索引支持 L2、内积(Inner Product)、余弦距离作为索引距离算法;基于内存的稀疏向量索引支持内积作为距离算法。具体请参见稠密向量索引和基于内存的稀疏向量索引。
- 向量索引搜索支持调用本文档中的
L2_distance、Cosine_distance、Inner_product距离函数。
距离函数
距离函数用于计算两个向量之间的距离,具体计算方式依据不同的距离算法而不同。
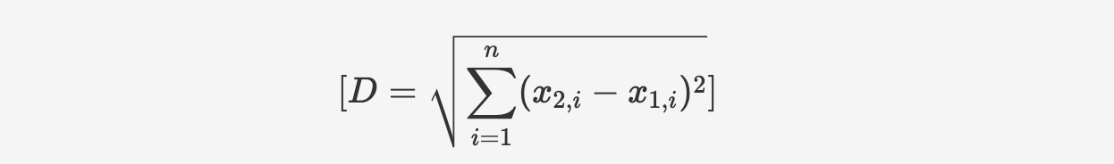
L2_distance
欧几里得距离反映的是被比较的向量坐标之间的距离--基本上是两个向量之间的直线距离。使用勾股定理应用于向量坐标来计算:

函数语法如下:
l2_distance(vector v1, vector v2)
参数说明如下:
-
除了向量类型外,参数可接受任意可强转为向量类型的其他类型,包括单级数组类型(如
[1,2,3,..])和字符串类型(如'[1,2,3]')。 -
两个参数的维度必须相同。
-
当存在单级数组类型参数时,该参数元素不允许出现
NULL。
返回值说明如下:
-
返回值为
distance(double)距离值。 -
当任意参数为
NULL时,返回NULL。
示例如下:
CREATE TABLE t1(c1 vector(3));
INSERT INTO t1 VALUES('[1,2,3]');
SELECT l2_distance(c1, [1,2,3]), l2_distance([1,2,3],[1,1,1]), l2_distance('[1,1,1]','[1,2,3]') FROM t1;
返回结果如下:
+--------------------------+------------------------------+----------------------------------+
| l2_distance(c1, [1,2,3]) | l2_distance([1,2,3],[1,1,1]) | l2_distance('[1,1,1]','[1,2,3]') |
+--------------------------+------------------------------+----------------------------------+
| 0 | 2.23606797749979 | 2.23606797749979 |
+--------------------------+------------------------------+----------------------------------+
1 row in set
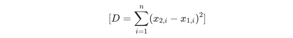
L2_squared
L2 Squared 距离是欧几里得距离(L2 Distance)的平方。它省略了欧几里得距离公式中的平方根运算,从而在保持距离相对顺序不变的前提下,降低了计算成本。计算方式为:

语法如下:
l2_squared(vector v1, vector v2)
参数说明如下:
-
除了向量类型外,参数可接受任意可强转为向量类型的其他类型,包括单级数组类型(如
[1,2,3,..])和字符串类型(如'[1,2,3]')。 -
两个参数的维度必须相同。
-
当存在单级数组类型参数时,该参数元素不允许出现
NULL。
返回值说明如下:
-
返回值为
distance(double)距离值。 -
当任意参数为
NULL时,返回NULL。
示例如下:
CREATE TABLE t1(c1 vector(3));
INSERT INTO t1 VALUES('[1,2,3]');
SELECT l2_squared(c1, [1,2,3]), l2_squared([1,2,3],[1,1,1]), l2_squared('[1,1,1]','[1,2,3]') FROM t1;
返回结果如下:
+-------------------------+-----------------------------+---------------------------------+
| l2_squared(c1, [1,2,3]) | l2_squared([1,2,3],[1,1,1]) | l2_squared('[1,1,1]','[1,2,3]') |
+-------------------------+-----------------------------+---------------------------------+
| 0 | 5 | 5 |
+-------------------------+-----------------------------+---------------------------------+
1 row in set
L1_distance
曼哈顿距离用于计算两个点在标准的坐标系中的绝对轴距总和。计算公式为:

函数语法如下:
l1_distance(vector v1, vector v2)
参数说明如下:
-
除了向量类型外,参数可接受任意可强转为向量类型的其他类型,包括单级数组类型(如
[1,2,3,..])和字符串来类型(如'[1,2,3]')。 -
两个参数的维度必须相同。
-
当存在单级数组类型参数时,该参数元素不允许出现
NULL。
返回值说明如下:
-
返回值为
distance(double)距离值。 -
当任意参数为
NULL时,返回NULL。
示例如下:
CREATE TABLE t2(c1 vector(3));
INSERT INTO t2 VALUES('[1,2,3]');
INSERT INTO t2 VALUES('[1,1,1]');
SELECT l1_distance(c1, [1,2,3]) FROM t2;
返回结果如下:
+--------------------------+
| l1_distance(c1, [1,2,3]) |
+--------------------------+
| 0 |
| 3 |
+--------------------------+
2 rows in set
Cosine_distance
余弦相似度(cosine similarity)是衡量两个向量的角度差异,它反映了两个向量在方向上的相似度,与向量的长度(大小)无关。余弦相似度的取值范围为 [-1, 1],其中 1 表示向量完全相同的方向,0 表示正交,-1 表示完全相反的方向。
余弦相似度的计算方式为:

由于余弦相似度度量越接近于 1 表示越相似,因此有时也使用余弦距离(或余弦不相似度)作为向量间距离的一种衡量方式,余弦距离可以通过 1 减去余弦相似度来计算:

余弦距离的取值范围是 [0, 2],其中 0 表示完全相同的方向(无距离),而 2 表示完全相反的方向。
函数语法如下:
cosine_distance(vector v1, vector v2)
参数说明如下:
-
除了向量类型外,参数可接受任意可强转为向量类型的其他类型,包括单级数组类型(如
[1,2,3,..])和字符串来类型(如'[1,2,3]')。 -
两个参数的维度必须相同。
-
当存在单级数组类型参数时,该参数元素不允许出现
NULL。
返回值说明如下:
-
返回值为
distance(double)距离值。 -
当任意参数为
NULL时,返回NULL。
示例如下:
CREATE TABLE t3(c1 vector(3));
INSERT INTO t3 VALUES('[1,2,3]');
INSERT INTO t3 VALUES('[1,2,1]');
SELECT cosine_distance(c1, [1,2,3]) FROM t3;
+------------------------------+
| cosine_distance(c1, [1,2,3]) |
+------------------------------+
| 0 |
| 0.12712843905603044 |
+------------------------------+
2 rows in set
Inner_product
内积又称为点积或数量积,表示两个向量之间的一种乘积。在几何意义上,内积表示两个向量的方向关系和大小关系。内积的计算方式为:

语法如下:
inner_product(vector v1, vector v2)
参数说明如下:
-
除了向量类型外,参数可接受任意可强转为向量类型的其他类型,包括单级数组类型(如
[1,2,3,..])和字符串来类型(如'[1,2,3]')。 -
两个参数的维度必须相同。
-
当存在单级数组类型参数时,该参数元素不允许出现
NULL。 -
稀疏向量使用此函数时,支持其中一个参数为稀疏向量格式的字符串,如
c2,'{1:2.4}';不支持两个参数均为字符串。
返回值说明如下:
-
返回值为
distance(double)距离值。 -
当任意参数为
NULL时,返回NULL。
稠密向量示例如下:
CREATE TABLE t4(c1 vector(3));
INSERT INTO t4 VALUES('[1,2,3]');
INSERT INTO t4 VALUES('[1,2,1]');
SELECT inner_product(c1, [1,2,3]) FROM t4;
返回结果如下:
+----------------------------+
| inner_product(c1, [1,2,3]) |
+----------------------------+
| 14 |
| 8 |
+----------------------------+
2 rows in set
稀疏向量示例如下:
CREATE TABLE t4(c1 INT, c2 SPARSEVECTOR, c3 SPARSEVECTOR);
INSERT INTO t4 VALUES(1, '{1:1.1, 2:2.2}', '{1:2.4}');
INSERT INTO t4 VALUES(2, '{1:1.5, 3:3.6}', '{4:4.5}');
SELECT inner_product(c2,c3) FROM t4;
返回结果如下:
```shell
+----------------------+
| inner_product(c2,c3) |
+----------------------+
| 2.640000104904175 |
| 0 |
+----------------------+
2 rows in set
Vector_distance
vector_distance 用于计算两个向量之间的距离,通过指定参数来选择不同的距离算法。
语法如下:
vector_distance(vector v1, vector v2 [, string metric])
vector v1/v2 参数说明如下:
-
除了向量类型外,参数可接 受任意可强转为向量类型的其他类型,包括单级数组类型(如
[1,2,3,..])和字符串来类型(如'[1,2,3]')。 -
两个参数的维度必须相同。
-
当存在单级数组类型参数时,该参数元素不允许出现
NULL。
metric 参数用于指定距离算法,可选:
-
如果不指定,默认算法为
euclidean。 -
如果指定,可选择的值有且只有
-
euclidean。表示欧式距离,和 L2_distance 含义相同。 -
manhattan。表示曼哈顿距离,和 L1_distance 含义相同。 -
cosine。表示余弦距离,和 Cosine_distance 含义相同。 -
dot。表示内积,和 Inner_product 含义相同。
-
返回值说明如下:
-
返回值为
distance(double)距离值。 -
当任意参数为
NULL时,返回NULL。
示例如下:
CREATE TABLE t5(c1 vector(3));
INSERT INTO t5 VALUES('[1,2,3]');
INSERT INTO t5 VALUES('[1,2,1]');
SELECT vector_distance(c1, [1,2,3], euclidean) FROM t5;
返回结果如下:
+-----------------------------------------+
| vector_distance(c1, [1,2,3], euclidean) |
+-----------------------------------------+
| 0 |
| 2 |
+-----------------------------------------+
2 rows in set
算术函数
算术函数提供向量类型与向量类型、单级数组类型、特殊字符串类型,以及单级数组类型与单级数组类型、特殊字符串类型的加(+)、减(-)和乘(*)法算术计算。计算方式为逐元素计算,如加法计算为:

语法如下:
v1 + v2
v1 - v2
v1 * v2
参数说明如下:
-
除了向量类型外,参数可接受任意可强转为向量类型的其他类型,包括单级数组类型(如
[1,2,3,..])和字符串来类型(如'[1,2,3]')。**注意:**两个参数不可以同时为字符串类型,必须有一个参数为向量或单级数组类型。 -
两个参数的维度必须相同。
-
当存在单级数组类型参数时,该参数元素不允许出现
NULL。
返回值说明如下:
-
当两个参数中至少有一个参数为向量类型时,返回值为和向量参数相同的向量类型。
-
当两个参数中只有单级数组类型时,返回值为
array(float)类型。 -
当任意参数为
NULL时,返回NULL。
示例如下:
CREATE TABLE t6(c1 vector(3));
INSERT INTO t6 VALUES('[1,2,3]');
SELECT [1,2,3] + '[1.12,1000.0001, -1.2222]', c1 - [1,2,3] FROM t6;
返回结果如下:
+---------------------------------------+--------------+
| [1,2,3] + '[1.12,1000.0001, -1.2222]' | c1 - [1,2,3] |
+---------------------------------------+--------------+
| [2.12,1002,1.7778] | [0,0,0] |
+---------------------------------------+--------------+
1 row in set
比较函数
比较函数提供向量类型与向量类型、单级数组类型、特殊字符串类型的比较计算,包括 =、!=、>、<、>=、<= 几种比较符号。计算方式为逐元素的字典序比较。
语法如下:
v1 = v2
v1 != v2
v1 > v2
v1 < v2
v1 >= v2
v1 <= v2
参数说明如下:
-
除了向量类型外,参数可接受任意可强转为向量类型的其他类型,包括单级数组类型(如
[1,2,3,..])和字符串来类型(如'[1,2,3]')。提示两个参数必须有一个参数为向量类型。
-
两个参数的维度必须相同。
-
当存在单级数组类型参数时,该参数元素不允许出现
NULL。
返回值说明如下:
-
返回值为 bool 类型。
-
当任意参数为
NULL时,返回NULL。
示例如下:
CREATE TABLE t7(c1 vector(3));
INSERT INTO t7 VALUES('[1,2,3]');
SELECT c1 = '[1,2,3]' FROM t7;
返回结果如下:
+----------------+
| c1 = '[1,2,3]' |
+----------------+
| 1 |
+----------------+
1 row in set
聚合函数
不支持使用向量列作为 GROUP BY 条件,不支持 DISTINCT。
Sum
Sum 函数用于计算表中向量列的和,采用逐元素累加的方式进行计算,以得到和向量。
语法如下:
sum(vector v1)
参数说明如下:
- 仅支持向量类型。
返回值说明如下:
- 返回
sum (vector)值。
示例如下:
CREATE TABLE t8(c1 vector(3));
INSERT INTO t8 VALUES('[1,2,3]');
SELECT sum(c1) FROM t8;
返回结果如下:
+---------+
| sum(c1) |
+---------+
| [1,2,3] |
+---------+
1 row in set
Avg
Avg 函数用于计算表中向量列的平均值。
语法如下:
avg(vector v1)
参数说明如下:
- 仅支持向量类型。
返回值说明如下:
-
返回
avg (vector)值。 -
不计入该向量列中的
NULL行。 -
输入参数为空时,输出
NULL。
示例如下:
CREATE TABLE t9(c1 vector(3));
INSERT INTO t9 VALUES('[1,2,3]');
SELECT avg(c1) FROM t9;
返回结果如下:
+---------+
| avg(c1) |
+---------+
| [1,2,3] |
+---------+
1 row in set
其他常见向量函数
Vector_norm
Vector_norm 函数用于计算向量的欧几里得范数(模),表示向量和原点之间的欧几里得距离。计算方式为:

语法如下:
vector_norm(vector v1)
参数说明如下:
-
除了向量类型外,参数可接受任意可强转为向量类型的其他类型,包括单级数组类型(如
[1,2,3,..])和字符串来类型(如'[1,2,3]')。 -
当存在单级数组类型参数时,该参数元素不允许出现
NULL。
返回值说明如下:
-
返回
norm(double)模值。 -
当参数为
NULL时,返回NULL。
示例如下:
CREATE TABLE t10(c1 vector(3));
INSERT INTO t10 VALUES('[1,2,3]');
SELECT vector_norm(c1),vector_norm([1,2,3]) FROM t10;
返回结果如下:
+--------------------+----------------------+
| vector_norm(c1) | vector_norm([1,2,3]) |
+--------------------+----------------------+
| 3.7416573867739413 | 3.7416573867739413 |
+--------------------+----------------------+
1 row in set
Vector_dims
Vector_dims 函数用于返回向量维度。
语法如下:
vector_dims(vector v1)
参数说明如下:
- 除了向量类型外,参数可接受任意可强转为向量类型的其他类型,包括单级数组类型(如
[1,2,3,..])和字符串来类型(如'[1,2,3]')。
返回值说明如下:
-
返回
dims(int64)维度值。 -
当参数为
NULL时会报错。
示例如下:
CREATE TABLE t11(c1 vector(3));
INSERT INTO t11 VALUES('[1,2,3]');
INSERT INTO t11 VALUES('[1,1,1]');
SELECT vector_dims(c1), vector_dims('[1,2,3]') FROM t11;
返回结果如下:
+-----------------+------------------------+
| vector_dims(c1) | vector_dims('[1,2,3]') |
+-----------------+------------------------+
| 3 | 3 |
| 3 | 3 |
+-----------------+------------------------+
2 rows in set